4분 읽기
- 세마글루글루타이드와 티르제파티드가 중독 위험을 유의미하게 줄여준다.
- 세마글루타이드 또는 티르제파타이드 기반으로 한 "체중 감량 주사"는 당뇨병과 비만 치료에도 획기적인 변화 효과
- 3년간 관찰결과, 환자 응급실 방문 횟수 30% 감소, 과다 복용 건수 40%, 사망률 50% 줄어
체중 감량 주사: 중독 치료에도 획기적인 효과
세마글루티드와 같은 GLP-1 약물, 다양한 중독에 대한 예방 효과 보여줘
중독 치료:
대규모 미국 연구에 따르면 GLP-1 약물을 기반으로 한 "체중 감량 주사"가 약물 중독 치료에도 도움이 될 수 있다고 한다. 이 연구는 세마글루글루타이드(Semaglutide)와 티르제파티드(Tirzepatide)가 중독 위험을 유의미하게 줄여준다는 것을 보여준다. 기존 약물 중독자의 재발 및 과다 복용 빈도 또한 감소했다. 주목할 만한 점은 GLP-1 작용제가 특정 약물뿐만 아니라 모든 종류의 중독에 효과적이라는 사실이다. 이러한 연구 결과는 의학 저널 "BMJ"에 발표됐다.
 |
| ▲ 웨고비(Wegovy)나 문자로(Mounjaro) 같은 체중 감량 주사는 미래에 중독자들에게도 도움이 될 수 있을 것이다. © imyskin/ Getty Images |
세마글루타이드 또는 티르제파타이드를 기반으로 한 "체중 감량 주사"는 당뇨병과 비만 치료에도 획기적인 변화를 가져올 수 있다. 이 약물들은 체내에서 분비되는 GLP-1(Glucagon-like Peptide-1, 글루카곤 유사 펩타이드-1)과 같은 호르몬을 모방해 혈당과 식욕을 조절한다. 따라서 이 치료법은 체중 감량과 당뇨병 관리에 도움이 되고 심장 건강 증진에도 효과적이다. 초기 연구에서는 이러한 약물이 알코올 중독자의 금주 및 유지를 돕는다는 사실도 밝혀졌다.
 |
| ▲ 연구개요 (출처:Glucagon-like peptide-1 receptor agonists and risk of substance use disorders among US veterans with type 2 diabetes: cohort study / Published 04 March 2026 / the BMJ) |
체중 감량 주사 덕분에 중독 사례가 줄어들고 있다.GLP-1 작용제가 다른 중독에도 어느 정도 효과적인지는 이전에는 불분명했다. 미국 세인트루이스 의료 시스템의 미아오 차이(Miao Cai) 연구팀은 이를 조사했다. 그들은 3년 동안 세마글루타이드(semaglutide)나 티르제파타이드(tirzepatide)와 같은 GLP-1 작용제 또는 다른 당뇨병 치료제를 투여받은 60만6434명의 미국 재향 군인 제2형 당뇨병 환자의 건강 데이터를 분석했다.
 |
| ▲ GLP-1 치료를 받은 실험 대상자 중 중독이 발생한 비율이 더 낮았다. 이미 중독된 사람들의 경우 재발, 과다 복용 및 기타 합병증 발생률이 감소했다. |
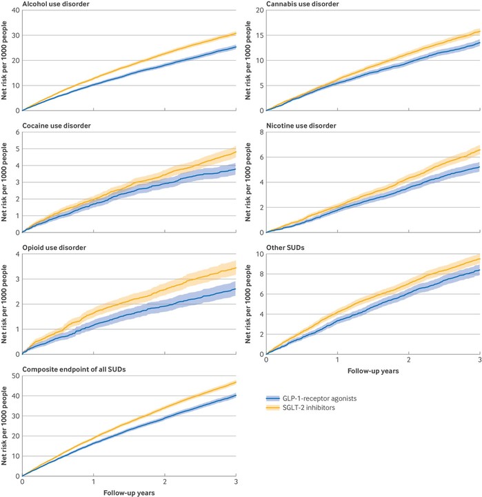
결과적으로, GLP-1 작용제를 투여받은 재향 군인들은 3년 동안 약물 중독에 걸릴 확률이 현저히 낮았다. 연구팀은 이들의 약물 중독 위험이 표준 당뇨병 치료제를 투여받은 참가자보다 평균 14% 낮았다고 보고했다. 주목할 만한 점은 이러한 효과가 특정 약물에만 국한된 것이 아니라 모든 환자에게서 관찰되었다는 것이다. 알코올 중독 위험은 18%, 대마초는 14%, 코카인과 니코틴은 20%, 그리고 오피오이드(Opioide)는 최대 25%까지 감소했다.
다양한 약물에 대한 광범위한 효능이번 연구에 참여하지 않은 시카고 로욜라 대학교의 의사 파레스 케아단(Fares Qeadan)은 관련 논평에서 "이러한 결과는 잠재적 이점이 특정 질환이나 물질에만 국한되지 않음을 시사한다"고 밝혔다. 오히려 이 약물들은 중독의 근본 원인을 겨냥하는 것으로 보인다. 케아단은 "전임상 및 초기 임상 연구에 따르면 GLP-1 수용체 활성화는 보상 지향적 행동을 감소시키는 것으로 나타났다"고 말했다.
이미 중독된 환자들도 GLP-1 작용제 치료의 혜택을 받았다. 차이와 그의 동료들이 발견한 바에 따르면, 3년간의 관찰 기간 환자들의 응급실 방문 횟수는 30% 감소했고, 과다 복용 건수는 40%, 사망률은 50% 줄었다.
 |
| ▲ GLP-1 억제제는 약물의 종류와 관계없이 일반적으로 약물 갈망을 감소시키는 것으로 보인다. © Sara Moser / WashU Medicine |
"중독 치료의 새로운 지평“이처럼 광범위한 효능은 중독 치료에 있어 획기적인 발견이다. 차이(Cais)박사의 동료인 지야드 알-알리(Ziyad Al-Aly)는 "중독 치료는 보통 한 가지 문제만을 대상으로 한다. 예를 들어 니코틴 패치는 흡연에는 효과가 있지만, 알코올 섭취에는 효과가 없다. 게다가 여러 중독성 물질에 효과가 있는 약물은 전무하다"고 말했다. "GLP-1 작용제 연구 결과는 주요 중독성 물질 모두에 효과적일 가능성을 시사하며, 이는 갈망 자체를 억제하는 기전 때문일 것으로 보인다.”
따라서 이 계열의 약물은 중독을 극복할 수 있는 새로운 기회를 제공할 수 있다. 예를 들어 현재 약물 치료법이 없는 메스암페타민(Methamphetaminen)과 같은 약물 의존증 환자에게 도움이 될 수 있다. "체중 감량 주사"로 불리는 이 약물은 여러 물질에 동시에 중독된 사람들에게도 도움을 줄 수 있다.
 |
| ▲ 치료군별 약물 사용 장애(SUD)의 누적 순 위험도. 모든 추정치는 사전 정의된 공변량을 고려한 완전 가중 모델을 사용하여 3년 추적 관찰 기간 동안 도출되었다. 기타 SUD에는 환각제, 흡입제, 향정신성 약물, 진정제 또는 수면제, 각성제와 관련된 물질 사용 장애가 포함된다. GLP-1=글루카곤 유사 펩티드-1; SGLT-2=나트륨-포도당 공동수송체-2; SUD=물질 사용 장애 (출처:Glucagon-like peptide-1 receptor agonists and risk of substance use disorders among US veterans with type 2 diabetes: cohort study / Published 04 March 2026 / the BMJ) |
실제로 어떻게 적용될까?이러한 약물이 중독 치료에 널리 사용되기 전에, 기존 치료법과의 비교를 포함해 GLP-1 작용제의 효능과 잠재적 위험성을 규명하기 위한 추가적인 임상 시험이 필요하다. 또 다른 측면이 작용한다. 케아단은 "적응증 확대가 의료 불평등의 심화나 기존 적응증에서 벗어난 치료로 이어져서는 안 된다"고 경고했다. 세마글루타이드(Semaglutide)와 티르제파타이드(Tirzepatide) 같은 GLP-1 작용제는 여전히 고가이기 때문에 이러한 약물에 대한 접근성이 사회 내부적으로나 국가 간에 불균등하게 분배되어 있기 때문이다.
그러나 중독 문제로 어려움을 겪는 동시에 당뇨병이나 비만 치료도 필요한 환자의 경우, GLP-1 작용제가 이미 최적의 치료법일 수 있다. 알-알리(Al-Aly)는 "이러한 환자들에게 GLP-1 작용제는 두 가지 질환을 동시에 치료하는 이중 효과를 제공할 수 있다"고 말했다.
참고: BMJ, 2026; doi: 10.1136/bmj.s325
출처: Washington University Medicine
[더사이언스플러스=문광주 기자]
[저작권자ⓒ the SCIENCE plus. 무단전재-재배포 금지]